Skip to content Skip to sidebar Skip to footer

Pembahasan Soal Fismat Chapter 1section 6 Mary L.boas Edisi 3

Chapter 3 section 2 1 1 1 4 1 1 2 3 2 2 4 6. Pdf Solution Manual Of Mathematical Methods In The.

Chapter 9 2 Solutions Mathematical Methods In The Physical Sciences 3rd Edition Chegg Com

Boas - Ch13 sec.

Pembahasan soal fismat chapter 1section 6 mary l.boas edisi 3. Chapter 3 section 2-1 1 -1 4 1 -1 2 3 2 2 4 6. Chapter 3 section 2 1 1 1 4 1 1 2 3 2 2 4 6. Download Full PDF Package.

Book Name Authors Mathematical Methods in Physical Sciences 0th Edition 0 Problems solved. Kunci Jawaban Buku Suad Husnan. Berisi tentang Pembahasan FISMAT 2Mathematical Method in pysical Sciences-third edtion chapter 11 section 3 nomor 11.

Kunci Jawaban Fismat Mary L Boas Section 6 Nomor 20. Berisi tentang Pembahasaan FISMATMathematical Method in pysical Sciences-third edtion capter 11 section 3. Boas - Answer key to Mathematical Methods in The Physical Sciences ENG Jawaban bukan solusi dari buku Mary L.

Kunci Jawaban Fismat Mary L Boas Chapter 1 Nomor 20 - Ilmu Siswa 29 Jan 2021. Boas chapter 1 section 4. About Press Copyright Contact us Creators Advertise Developers Terms Privacy Policy Safety How YouTube works Test new features Press Copyright Contact us Creators.

Buku ini dicantumkan dalam daftar referensi di buku panduan perkuliahan di Universitas Gadjah Mada. Chapter 14 3 Solutions Mathematical Methods In The Physical Sciences 3rd Edition Chegg Com. Medan Elektromagnetik 2.

Contoh Soal Dan Jawaban Nilai Intrinsik. Kunci Jawaban Buku Suad Husnan. Contoh Soal Cpns Sscn 2018 Pdf Dan Kunci Jawaban.

Boas mathematical methods in the physical sciences 3ed buku sudah tersedia di dieng asri untuk yang edisi ke 3 nya yang ini adalah jawabannya type. Cukup mudah dipahami dengan contoh soal yang banyak serta latihan dan kunci jawaban untuk melatih ketrampilan pembaca. Contoh Soal Cpns Sscn 2018 Pdf Dan Kunci Jawaban.

Pembahasan Soal Chapter 3 Section 2 No 5 Youtube. Soal Jawab Olimpiade Ipa Sd. Kunci Jawaban Ips Kelas 7 Kurikulum 2013 Bab 3.

Contoh Soal Dan Jawaban Nilai Intrinsik. Dec 13 2014 wildatun islamiyah rated it it was amazing. Kunci jawaban fismat mary l.

Kunci jawaban fismat mary l boas. Select a textbook to see worked-out Solutions. Pembahasan Fismat 2 Mery L Boas Chapter 11 Section 7 No 1.

Berisi tentang pembahasan mata kuliah fismat 2. Fismat Chapter 4 Soal Dan Jawaban Ujian Fisika Matematika 2 Pendidikan Fisika. Below are Chegg supported textbooks by Mary L Boas.

Kunci Jawaban B Indonesia Kelas 12 Hal 74. Mathematical methods in the physical sciences is a 1966 textbook by mathematician mary l. Kunci Jawaban Fismat Mary L Boas Section 6 Nomor 20.

Kunci Jawaban Bahasa Indonesia Kelas 10 Halaman 230. Kunci Jawaban Ips Kelas 7 Kurikulum 2013 Bab 3. Kunci jawaban fismat mary l boas chapter 1 nomor 20.

8 Full PDFs related to this paper. Chapter 1 Section 5 Video 1 Youtube. Boas ch 13 sec.

A short summary of this paper. Contoh Soal Cpns Sscn 2018 Pdf Dan Kunci Jawaban. Boas - Mathematical Methods in The Physical Sciences 3ed Buku sudah tersedia di DIENG ASRI untuk yang edisi ke-3.

Kunci Jawaban Bahasa Indonesia Kelas 10 Halaman 230. Riska Novi Maulina Fismat I Unesa Mary L Boas Chap 1 Sect 6 No 32 Fisika Matematika 1 Fismat Chapter 4 Mary L Boas Chapter 1 Section 6 No 24 Louis Andika 14030184026 Pfc 2014. Kunci Jawaban B Indonesia Kelas 12 Hal 74.

Fismat Chapter 4 Mary L Boas Chapter 1 Section 6 No 24 Louis Andika 14030184026 Pfc 2014 Fismat Chapter 4. Pembahasan Fismat 2 Mery L Boas Chapter 11 Section 7 No 1. Solution manual of mathematical methods in the physical sciences 3rd edition by mari l boas.

Fismat Chapter 4 Soal Dan Jawaban Ujian Fisika Matematika 2 Pendidikan Fisika. Kunci jawaban FISMAT Mary L. More from nellanello siiladyboyo.

Kunci Jawaban Fismat Mary L Boas Section 6 Nomor 20. Mary L Boas Solutions. Below are chegg supported textbooks by mary l boas.

Berisi tentang Pembahasan mata kuliah FISMAT 2. Boas mathematical methods in the physical sciences 3ed buku sudah tersedia di dieng asri untuk yang edisi ke 3 nya yang ini adalah jawabannya type. Solution Manual Of Mathematical Methods in The Physical Sciences 3rd Edition By Mari L Boas.

Boas adalah salah satu pengarang buku Mathematical Methods ini. Kunci jawaban mary l boas. Download Kunci Jawaban Fismat Mary L Boas Chapter 1 Nomor 20 PDF 1400 MB - SamPDF SamPDF Chapter 1 -- Section 5 -- Video 1 Fismat Chapter 2 Section 10 No2 Mary LBoas Denis Veronika FU-14030184022 Mathematical Methods in the Physical Science Pembahasan FISMAT 2 Mery LBoas chapter 11 section 3 no11.

Fismat Chapter 4. Fismat Chapter 4 Mary L Boas Chapter 1 Section 6 No 24 Louis Andika 14030184026 Pfc 2014 Fismat Chapter 4. So to determine the height of the tenth rebound take the term.

November 10 2012 buat temen-temen yang gemar ngerjain soal fismat di bukunya mary L boas n pengen ngecek jawaban ini dia kunci jawaban buku mary l boas langsung disedot aja ca. Soal Jawab Olimpiade Ipa Sd. The height after the first rebound is.

Problem Solving Mary L Boas Section 7 No 5 14030184030 Youtube. Books by Mary L Boas with Solutions.

Jawaban Fismat Bab 1 Bab 3

Pembahasan Fismat 2 Mery L Boas Chapter 11 Section 3 No 11 Youtube

Fismat Chapter 2 Section 10 No 2 Mary L Boas Youtube

Mary L Boas Ch1 Section 2

Pembahasan Fismat 2 Mery L Boas Chapter 11 Section 3 No 11 Youtube

Chapter 9 2 Solutions Mathematical Methods In The Physical Sciences 3rd Edition Chegg Com

Solutions To Mathematical Methods In The Physical Sciences 9780471198260 Homework Help And Answers Slader

Mary L Boas Ch1 Section 2

Mary L Boas Solution For Ch 1 Section 1

Mary L Boas Solution For Ch 1 Section 1

Pdf Solution Manual Of Mathematical Methods In The Physical Sciences 3rd Edition By Mari L Boas Gamal Rizka Academia Edu

Mary L Boas Solution For Ch 1 Section 1

Ch 8 Ppt File Mmp Mary L Boas Differential Equations Ordinary Differential Equation

Problem Solving 1 Section 6 No 8 Chapter 1 Mathematical Methods Mary L Boas Youtube

Mary L Boas Bab 1 Deret Tak Hingga Dan Deret Pangkat Problem Section 2 No 1 Youtube

Pembahasan Soal Chapter 3 Section 2 No 5 Youtube

Mary L Boas Solution For Ch 1 Section 1

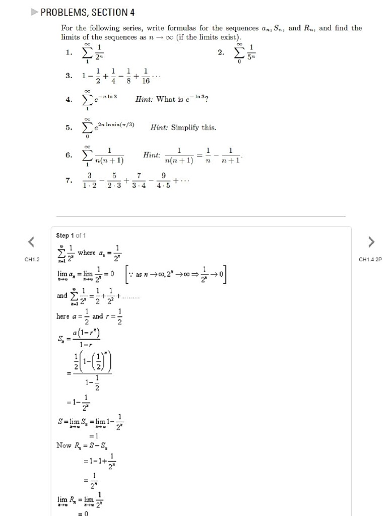
Mary L Boas Chapter 1 Section 4

Kunci Jawaban Fismat Boas Seputar Soal Sekolah


Post a Comment for "Pembahasan Soal Fismat Chapter 1section 6 Mary L.boas Edisi 3"