Soal Dan Jawaban Smk Administrasi Perkantoran
Soal teori kejuruan administrasi perkantoran dan kunci jawaban 2016. Semua jawaban benar 14.
Soal Ukk Smk Administrasi Perkantoran Tp 2017 2018 Anugerah Dino
Berikut 15 Soal Administrasi Perkantoran Dan Jawabannya Terupdate Soal Pilihan Ganda Administrasi Umum Kelas 10 Guru Ilmu Sosial Soal Smk Administrasi Perkantoran.

Soal dan jawaban smk administrasi perkantoran. Soal Ukk Smk Administrasi Perkantoran Tahun Pelajaran 2018 2019 Soal Administrasi Umum Kelas 10 Bab 6 Panggilan Alam Contoh Soal Administrasi Umum Kelas 10 Beserta Jawabannya Contoh Soal Pilihan Ganda Dan. Administrasi Perkantoran Kode Soal. Untuk kepentingan pimpinan dan Negara c.
Semua materi ujian ukg ada di web. Top contoh soal tes administrasi perkantoran dan jawabannya. Siswa2 kelas xii ap yang bapak banggakan silahkan download disini untuk mendapatkan materi pembahasan soal soal un teori kejuruan adm.
Soal administrasi perkantoran dan kunci jawaban. Soal teori kejuruan administrasi perkantoran dan kunci jawaban 2016. Untuk meningkatkan kemahiran pegawai karyawan b.
15 Maret 2011-03-21 Bentuk soal. Tujuan dari perjalanan dinas adalah. SMK Administrasi Perkantoran Senin 27 April 2015 SOAL-SOAL LATIHAN KEARSIPAN SOAL KEARSIPAN PILIHAN GANDA BAB 1 1.
Simulasi Soal UKG Online Administrasi Perkantoran SMK - soal UKG Online 2014 web ukg online ini memberikan cara latihan soal ukg online gratis tingkat PAUD TK SD SMP SMA dan SMK. Pukul 0800 1000 Tanggal. Soal teori kejuruan administrasi perkantoran dan kunci jawaban 2017 pdf Soal Tryout Ujian Nasional 2017 dan Pembahasan untuk SMA Maret 10 2017 Januari 13 2017 Oleh Soal UNBK.
ADMINISTRASI PERKANTORAN ADPU4331 PETUNJUK. Maret 10 2017 januari 13 2017 oleh soal unbk. Soal usbn bahasa inggris 2019 smk lengkap beserta kunci jawabannya.
Contoh Soal Un Teori Kejuruan Administrasi Perkantoran Contoh Soal Terbaru Dowload soal teori kejuruan. Berikut ini adalah kumpulan dari berbagi sumber tentang contoh soal ukk smk jurusan administrasi perkantoran yang bisa gunakan untuk file revisi dan diunduh secara gratis dengan menekan tombol download biru dibawah ini. Soal pengantar administrasi perkantoran kelas xi bab 1 5 dan jawabannya ini alas may 22 2017.
1 hal hal berikut ini termasuk dalam pokok pokok perjanjian kerja kecuali. Soal teori kejuruan administrasi perkantoran dan kunci jawaban 2016 soal tryout ujian nasional 2017 dan pembahasan untuk sma maret 10 2017 januari 13 2017 oleh soal unbk. Sekolah Menengah Kejuruan SMK Teruna Jaya Nglipar Gunungkidul Kerjakan Soal di bawah ini Klik jawaban yang anda anggap benar Periksa dan bacalah soal secara cermat sebelum anda menjawab Soal Teori Kejuruan Popular.
Soal teori kejuruan adm perkantoran dan kunci jawaban soal tryout ujian nasional 2017 dan pembahasan untuk sma maret 10 2017 januari 13 2017 oleh soal unbk. Soal UNBK Teori Kejuruan Administrasi Perkantoran dan Kunci Jawaban - Hai sobat di kesempatan kali ini kami akan memberikan artikel tentang soal UNBK teori kejuruan Administrasi Perkantoran SMK tahun pelajaran 20202021 yang sudah disesuaikan dengan kisi - kisi UNBK teori kejuruan jurusan tersebut. Demikian contoh soal administrasi perkantoran tentang pengertian tata usaha.
Untuk kelancaran komunikasi dan peningkatan hubungan d. Bukalah tutup mesin tik 2. Siagian kita dapat me-mandang.
Jangan lupa untuk berbagi soal soal di atas ke teman teman kuliah anda dengan. Soal ukk administrasi perkantoran ap otomatisasi dan tata kelola perkantoran otkp 2019 paket 2 pembahasan soal ukk administrasi perkantoran ap. UNTUK SOAL NOMOR 1 SAMPAI DENGAN 29 PILIHLAH SATU JAWABAN YANG PALING TEPAT.
Bank soal smk sarana prasarana lengkap 1. Contoh Soal Administrasi Perkantoran dan Kunci Jawaban Soal Administrasi Perkantoran - Pada kesempatan kali ini saya akan membahas tentang contoh soal pada Jurusan Administrasi perkantoran. Contoh soal dan jawaban administrasi kepegawaian guru ilmu sosial.
Kumpulan soal K13 ini kami. Soalunbk info pembahasan soal fisika un 2018 dilengkapi rumus utama dan cara cepat menjawab soal soal latihan ujian nasional sma ini akan sangat membantu. Kunci jawaban spm smk administrasi perkantoran Soal Tryout Ujian Nasional 2017 dan Pembahasan untuk SMA Maret 10 2017 Januari 13 2017 Oleh Soal UNBK SMA 2017 Kunci Jawaban Soal-Soal.
Dalam BInggris arsip berasal dari kata. Dimana soal yang kita pelajari adalah Indikator.
Pin Di Soal Tematik Kelas 3 Sd Tema 6 Subtema 4 Penghematan Energi K13 Revisi 2018 2019
Soal Uts Administrasi Perkantoran
Soal Tes Teori Kejuruan Administrasi Perkantoran Proprofs Quiz Teori Kantor
Praktek Simulasi Administrasi Perkantoran Smk Negeri 2 Magelang
Spm Administrasi Perkantoran Smk Mak
Soal Dan Jawaban Ukk Smk Ap Administrasi Perkantoran Tahun Pelajaran 2018 2019 Coretanku
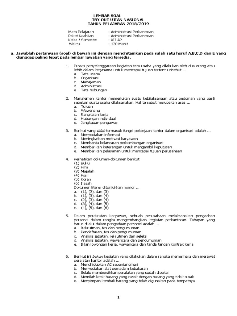
Try Out Un Adm Perkantoran 2019
Lengkap 20 Contoh Soal Ukg Administrasi Perkantoran Smk Dan Kunci Jawabnya Terbaru Bospedia
Wa 0838 3020 4133 Tempat Pkl Smk Jurusan Administrasi Perkantoran Sidoarjo Porong In 2020 Desktop Screenshot Screenshots
Post a Comment for "Soal Dan Jawaban Smk Administrasi Perkantoran"