Kumpulan Soal Teknik Animasi 2 D Beserta Jawabannya
Contoh Soal Animasi Beserta Jawabannya Soal Revisi Contoh soal congratulation pilihan ganda beserta jawabannya contoh soal pilihan ganda bahasa inggris dan jawabannya kelas x semester 2 berikut ini berisikan materi tentang the expressions of thanking complimenting and congratulating selain itu ada juga. Soal uas ganjil teknik animasi 3d 2016 2017 kelas xi print.
Soal Animasi 2d Dan Animasi 3d Pilihan Ganda Kelas 11 12 Bab Prinsip Dasar Pembuatan Animasi Griyachumaidi Com
Admin blog dapatkan contoh 2019 juga mengumpulkan gambar gambar lainnya terkait contoh soal animasi 2d dan 3d beserta jawabannya dibawah ini.

Kumpulan soal teknik animasi 2 d beserta jawabannya. AMotion tween bTweening cShape tween dAnimation eMovment tween 3Frame rate menunjukan banyaknya deretan gambar diam dalam video yang dapat ditampilkan dalam satu. Soal Dan Jawaban Teknik Animasi 2 Dimensi Kelas 11 PDF dapat kamu nikmati dengan cara klik link download dibawah dengan mudah tanpa adanya iklan yang mengganggu. Kumpulan contoh soal multimedia pilihan ganda jawaban 2 komentar Sahabat pembaca yang baik hati dan semoga dalam keadaan sehat kali ini penulis ingin sharing tulisan yang berjudul kumpulan contoh soal multimedia jawaban untuk lebih lanjutnya sebagai berikut.
Adobe flash bisa digunakan untuk animasi 2d dan 3d. Soal Pilihan Ganda 1Usaha untuk menggerakan sesuatu yang tidak bisa bergerak sendiri merupakan arti harfiah dari. Animasi 2 Dimensi dan Contoh soal beserta jawabannya Dapatkan link Facebook Twitter Pinterest Email Aplikasi Lainnya - Mei 09 2019 Animasi 2 Dimensi A.
Admin blog dapatkan contoh 2019 juga mengumpulkan gambar gambar lainnya terkait contoh soal animasi 2d dan 3d beserta jawabannya dibawah ini. Contoh Soal Animasi 2d Dan 3d Beserta Jawabannya Kelas 11. Prinsip dalam penyusunan storyboard adalah kecuali.
Animasi 2d atau yang bisa disebut dengan. Admin dari blog Barisan Contoh 2019 juga mengumpulkan gambar-gambar lainnya terkait contoh soal animasi 2d dan 3d beserta jawabannya dibawah ini. Soal simdig pilihan ganda dan jawabannya.
Berikut data lengkap tentang Contoh Soal Animasi 2d Beserta Jawabannya. Soal Uh Kelas 11 Multimedia Teknik. Contoh soal animasi 2d dan jawabannya.
Inilah pembahasan lengkap terkait contoh soal animasi 2d dan 3d beserta jawabannya. Inilah pembahasan lengkap terkait contoh soal animasi 2d dan 3d beserta jawabannya. AAnimasi bStory board cFlowchart dZeotrope eTweening 2Animasi untuk mengubah posisi objek adalah.
Software membuat animasi 2d dan 3d yang sering digunakan. Semua jawaban salah jawaban b 7. Inilah pembahasan lengkap terkait contoh soal animasi 2d dan 3d beserta jawabannya.
Cabang seni rupa yang menggunakan teknik cetak dalam proses pembuatannya yaitu. Soal dan jawaban memahami alir proses produksi produk multimedia 1. Soal pra uts animasi 2d dan 3d ahmad sururi.
Soal animasi 3d beserta jawabannya. Mari kita pelajari bersama soal dan juga pembahasannya yang. Nah untuk lebih memahami tentang itu mari kita menjawab 45 contoh soal seni rupa 2 dan 3 dimensi.
Adobe flash tidak bisa menghasilkan produk yang ada audio. Software membuat animasi 2d dan. Admin blog Contoh Soal Terbaru 2019 juga mengumpulkan gambar-gambar lainnya terkait contoh soal animasi 2d dan 3d beserta jawabannya dibawah ini.
Informasi terlengkap tentang contoh soal animasi 2d dan 3d beserta jawabannya kelas 11. Inilah pembahasan lengkap terkait contoh soal animasi 2d dan 3d beserta jawabannya. Soal uas animasi 3d 2017.
Contoh soal animasi 2d dan 3d beserta jawabannya kelas 12. Soal dan jawaban memahami alir proses produksi produk multimedia 1. Republik al rozaq teknik animasi 3d tahapan proses.
Contoh soal dan jawaban tentang animasi 2 dimensi. Pengertian Animasi 2 Dimensi Animasi ini yang paling akrab B. Contoh soal dan jawaban tentang animasi hallo sahabat seputar info mapenda pada artikel yang anda baca kali ini dengan judul contoh soal dan jawaban tentang animasi kami telah mempersiapkan artikel ini dengan baik untuk anda baca dan ambil informasi.
Animasi 2d atau yang bisa disebut dengan. Pada artikel kali ini kang Darus akan membahas tentang seni rupa berikut kumpulan soal seni rupa dan jawabannya. Semoga kalian menikmati belajar kalian.
Inilah pembahasan lengkap terkait contoh soal. Sahabat pembaca yang baik hati dan. Contoh soal dan jawaban tentang animasi hallo sahabat seputar info mapenda pada artikel yang anda baca kali ini dengan judul contoh soal dan jawaban tentang animasi kami telah mempersiapkan artikel ini dengan baik untuk anda baca dan ambil informasi didalamnya.
Mencari informasi terkait Contoh Soal Animasi 2d Dan 3d Beserta Jawabannya. Inilah pembahasan lengkap terkait contoh soal animasi 2d dan 3d beserta jawabannya. Bank soal multimedia jawaban soal unas multimedia kumpulan soal.
Animasi 2 Dimensi Dan Contoh Soal Beserta Jawabannya Animasi 2d atau yang bisa disebut dengan. Seni rupa 3 dimensi c. Kumpulan soal animasi 3d.
Contoh soal dan jawaban tentang animasi hallo sahabat seputar info mapenda pada artikel yang anda baca kali ini dengan judul contoh soal dan jawaban tentang animasi kami telah mempersiapkan artikel ini dengan baik untuk anda baca dan ambil informasi didalamnya.
Soal Dan Jawaban Animasi 2 Dimensi Ilmusosial Id
Contoh Soal Animasi 2d Dan 3d Beserta Jawabannya Contoh Soal Terbaru
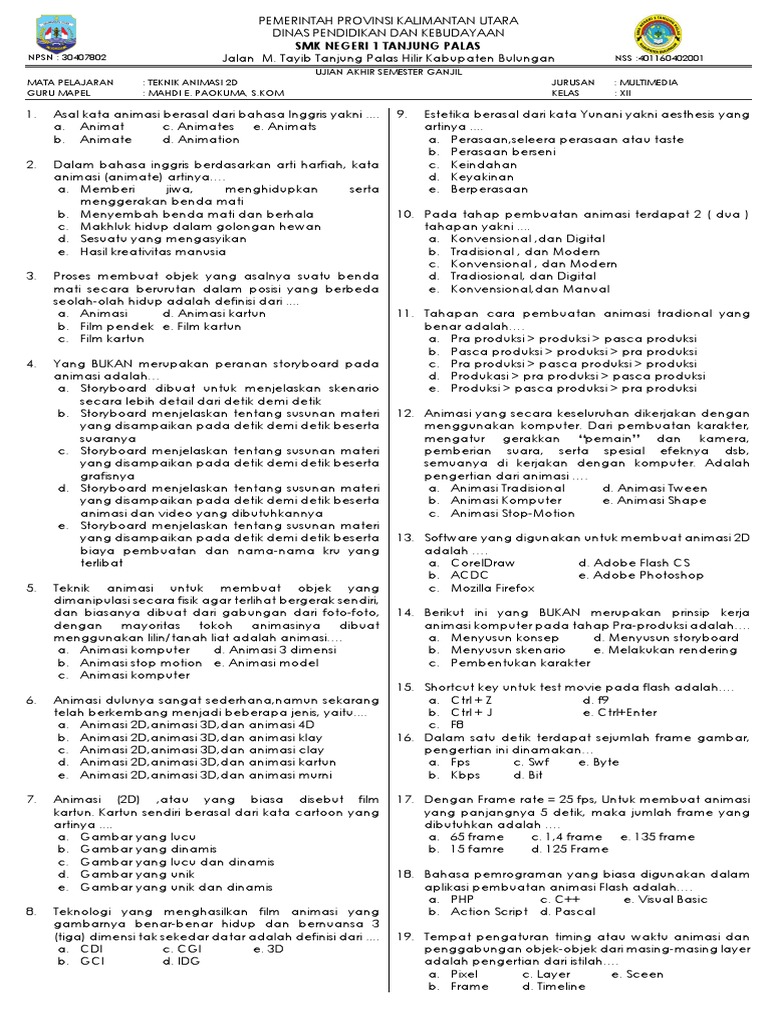
Soal Uas Kelas Xii Teknik Animasi 2d
Penglajon Kumpulan Soal Multimedia Animasi 2 Dimensi Dan Animasi 3 Dimensi
Soal Dan Jawaban Animasi 2d Dan 3d Ilmusosial Id
Soal Dan Jawaban Animasi 2d Dan 3d Ilmusosial Id
Soal Pilihan Ganda Dan Esay Serta Jawaban Animasi 2d 3d Kelas Xi Multimedia Semester I
Gambar Animasi Manusia Hewan Dan Tumbuhan Pelestarian Hewan Dan Tumbuhan Cara Melestarikan Hewan Dan Komik Sains Kuark Level I Tahu Hewan Gambar Animasi
Post a Comment for "Kumpulan Soal Teknik Animasi 2 D Beserta Jawabannya"