Soal Dan Jawaban Matematika Bab Limit Kelas Xi
Limit fungsi aljabar merupakan materi matematika wajib yang diajarkan di kelas xi. Contoh soal dan pembahasan tentang limit trigonometri.
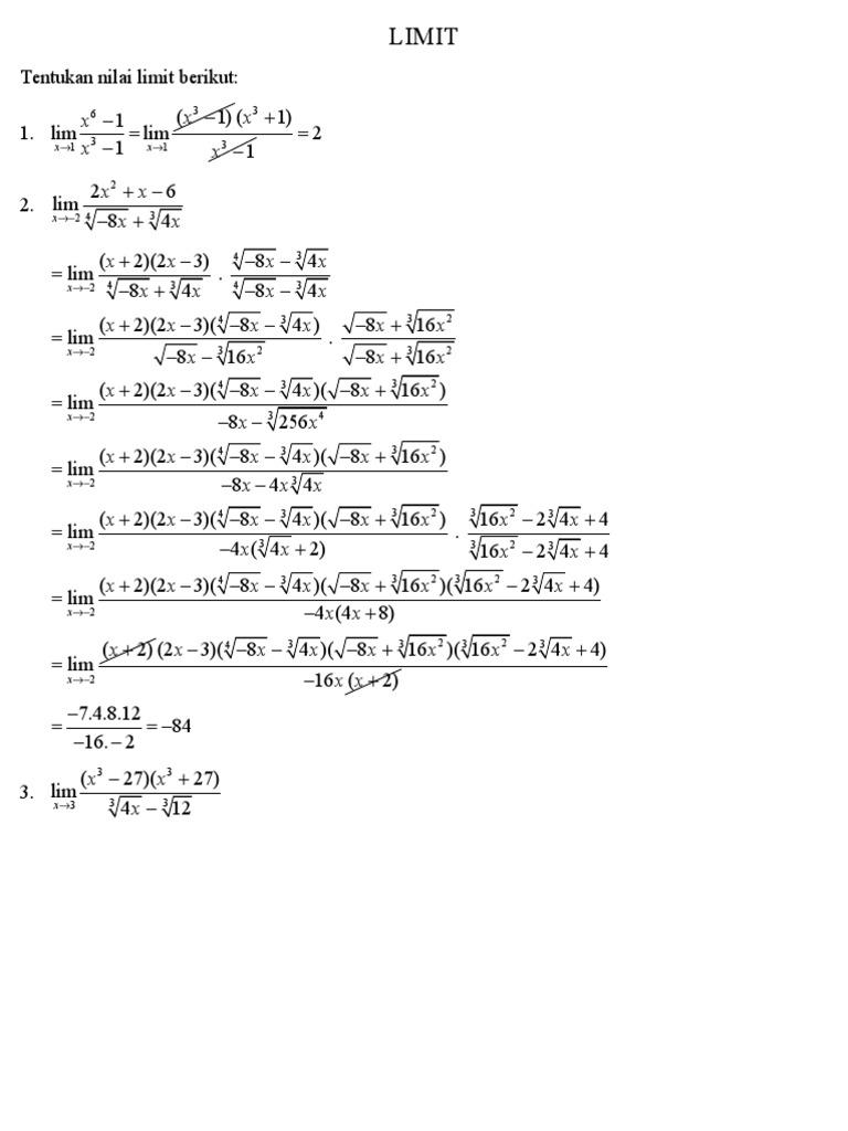
Pembahasan Soal Limit Sma Kelas 11 Ipa
Contoh soal dan pembahasan tentang limit.

Soal dan jawaban matematika bab limit kelas xi. Semoga dapat dijadikan sebagai bahan referensi dalam belajar. Soal juga dapat diunduh dengan mengklik tautan berikut. Tidak ada tujuan lagin dan.
Soal Dan Jawaban Limit Dan Turunan Posted on mei 8 2015 by andikolo. Tanpa berlama-lama silahkan download materi dan LKS Matematika Kelas XI IPA Semester 2 mengenai Limit Fungsi di bawah ini. Soal UKK UAS PKN Kelas X XI Semester 2 Genap.
Rangkuman materi contoh soal matriks jawaban dengan pembahasan lengkapnya dan video pembalajarannya simak disini. Berikut ini adalah contoh soal dan pembahasan super lengkap mengenai limit khusus fungsi aljabar. Soal matematika matriks dan kunci jawaban kelas 11Adik adik kelas 11 sebentar lagi akan.
ANALISIS BUTIR SOAL ULANGAN TENGAH SEMESTER GENAP. Soal matematika sma uts kelas xi ipa semester 1 doc soal matematika sma ulangan harian barisan dan deret doc saya juga sudah memposting soal latihan un tahun 2016 untuk sd dan smp di sini. 2 soal ipa smp kelas 7 semester 1 bab materi dan soal uts.
Semoga dapat dijadikan sebagai bahan referensi dalam belajar. Cakupan materi dari bab ini antara lain menentukan nilai dari limit fungsi aljabar menggunakan metode subtitusi pemfaktoran dan bentuk akar serta menentukan nilai dari limit fungsi aljabar tak hingga. Di sini tersedia video pembahasan materi untuk pelajaran Matematika Wajib SMA kelas XI untuk kurikulum 2013 Revisi.
Mata pelajaran kali ini yang di share adalah soal dan kunci jawaban pat matematika. Index 0 items 0 had very good. Penyajian rumussimbol matematika di sini menggunakan LaTeX sehingga lebih smooth dari segi tampilan.
Substitusikan saja nilai x berikutnya dilanjutkan dengan tipe metode turunan yaitu limit x menuju angka. Soal dan pembahasan matematika kelas xi semester 1. Demikian soal pembahasan dan kunci jawaban PAS Matematika Wajib dan Peminatan Kelas 11 XI SMA MIPA-IPS Semester 1 Kurikulum 2013.
Semua video materi di bawah ini didesain dengan runut dan terstruktur. Berikut ini adalah contoh latihan soal ulangan akhir semester uas 1 mata pelajaran matematika untuk adik adik yang duduk di bangku sekolah dasar kelas 6. Penyajian rumus simbol matematika di sini menggunakan latex sehingga lebih smooth dari segi.
Soal matematika kelas 5 sd bab 2 pangkat dan akar bilangan bulat dan kunci jawaban keterangan soal. Soal Matematika Kelas 5 Sd Bab 2 Pangkat Dan Akar Dan Kunci Soal Uas Matematika Kelas 2 Sd Semester 2 Dan Kunci Jawaban Unduh Soal Pas Uas Matematika Kelas 5 Sd Semester 2 Soal Ulangan Matematika Kelas 5. Soal dan pembahasan limit aljabar kelas 11.
Limit Fungsi Aljabar Limit fungsi aljabar Merupakan materi matematika wajib yang diajarkan di kelas XI. Hai sahabat TeMa Kali ini saya akan berbagi mengenai materi dan LKS Matematika kelas XI IPA semester 2 yaitu mengenai Limit Fungsi. Soal matematika kelas 6 sd bab 1 bilangan bulat dan kunci jawaban keterangan soal.
Turunan suatu turunan fungsi yang ditulis dengan notasi dengan rumus. Untuk soal limit fungsi trigonometri dipisahkan dalam postingan lain karena soalnya akan terlalu banyak bila ditumpuk menjadi satu. Contoh Soal Dan Jawaban Limit Sepihak Guru Ilmu Sosial Bab Iii Limit Fungsi Dan Kekontinuan Ppt Download Limit Kanan Dan Limit Kiri Sebuah Tutorial Sederhana Youtube Scientific Paradise Limit Matematika Kelas 12 Bab Iii.
Contoh soal limit matematika kelas 11. AJAR HITUNG Soal pembahasan Matematika SD SMP SMA Home About Kontak Kategori Kelas 7 Kelas 8 Kelas 9. Pada artikel ini Quipper Blog akan mengulas tentang strategi penyelesaian limit fungsi aljabar aturan LHopital dan modifikasi turunan solusi super atau SUPER untuk menyelesaikan soal limit fungsi aljabar dan contoh.
Soal ini bisa juga digunakan sebagai bahan latihan siswa dirumah untuk persiapan. Mulai dari logika matematika notasi sigma induksi matematika pertidaksamaan linear dua variabel program linear dua variabel matriks baris dan deret limit fungsi aljabar turunan fungsi aljabar sampai. Kami berikan link download kumpulan soal kurikulum 2013 edisi revisi terbaru untuk jenjang sd mulai dari kelas 1 2345 dan 6.
Soal yang Kami sediakan berjumlah 65 butir dari berbagai penerbit buku semoga siswa dapat mengerti dan memahami bab ini. 1 20 Contoh Soal Limit Fungsi Aljabar dan Pembahasan 1. Limit fungsi aljabar merupakan materi matematika wajib yang diajarkan di kelas xi.
Rangkuman materi bab turunan kelas xi 11 disertai contoh soal dan.
Contoh Soal Limit Tak Hingga Pada Trigonometri Motefast
Conntoh Soal Pilihan Ganda Bab Limit Fungsi Dan Jawabannya Ilmusosial Id
Kelas Xi Matematika Bab Limit Fungsi Brainly Co Id
Contoh Soal Penerapan Limit Dalam Kehidupan Sehari Hari Dapatkan Contoh
Soal Matematika Limit Fungsi Kelas 11
Contoh Soal Dan Pembahasan Tentang Limit Ajar Hitung
Limit Fungsi Aljabar Soal 1 Youtube
Advertise Online Matematika Kelas Xi Bab 7 Limit Fungsi
Contoh Soal Limit Tak Hingga Akar Pangkat 3 Kumpulan Soal Pelajaran 7
Post a Comment for "Soal Dan Jawaban Matematika Bab Limit Kelas Xi"